Back to Home Page of CD3WD Project or Back to list of CD3WD Publications

CLOSE THIS BOOKRenewable Energy Technologies: A Review of the Status and Costs of Selected Technologies (WB, 1994, 184 p.)
4 Photovoltaics
VIEW THE DOCUMENTIntroduction
Photovoltaic manufacturing and technology
VIEW THE DOCUMENT(introduction...)
VIEW THE DOCUMENTEfficiency
VIEW THE DOCUMENTCrystalline sillicon solar cells (''Thick'' Film)
VIEW THE DOCUMENTThin-film solar cells
VIEW THE DOCUMENTConcentrator solar cells
VIEW THE DOCUMENTEnvironmental effects
VIEW THE DOCUMENTThe cost of photovoltaic power
Costs in detail
VIEW THE DOCUMENT(introduction...)
VIEW THE DOCUMENTModules costs
VIEW THE DOCUMENTBalance-of-system costs
VIEW THE DOCUMENTCost of photovoltaic electricity
VIEW THE DOCUMENTThe future of photovoltaics

Renewable Energy Technologies: A Review of the Status and Costs of Selected Technologies (WB, 1994, 184 p.)

4 Photovoltaics

Introduction

The previous two chapters have described the conversion of solar energy to electricity through either the combustion of the product of photosynthesis to generate heat energy or the use of direct solar energy to heat a fluid and drive a turbo generator. This chapter describes a completely different way of generating electricity from sunlight: converting light energy directly to electrical energy using photovoltaic (PV) devices.

Photovoltaic devices work by using an effect first discovered in 1839 by Becquerel but not used in commercial applications until the 1950s (see Annex 7; "The Photovoltaic Effect"}. These early applications were in the space industry, and development of photovoltaics for terrestrial use began only in the 1970s. In the last two decades, however, development of photovoltaics has been nothing short of remarkable. The technology is described briefly and then discussed in relation to costs.

The recent and rapid advances in photovoltaic technology have been driven by technical innovations and contributions from several distinct scientific disciplines, including materials sciences, solid-state (semiconductor) physics, and optics. The technology is also notable for the variety of approaches being pursued by different laboratories and manufacturers, resulting in a healthy competition of ideas among innovators and in significant progress in the laboratory and in manufacturing.

The world market for photovoltaics was 57.9 MW in 1992, having increased from less than 1 MW in 1978 (Figure 4.1). Current uses of photovoltaic modules include the following:

· Lighting (e.g., street lights, highway signs, parking lots, health clinics, and homes).

· Electricity for facilities in remote locations (e.g., refrigeration in remote health clinics or homes).

· Communications (e.g., telephones, radio communications, and emergency call boxes).

· Water pumping (e.g., village water supply, irrigation and drainage).

· Warning signals (e.g., navigational beacons such as buoys and lighthouses, audible signals, railroad signals, and aircraft warning beacons).

· Monitoring at remote sites (e.g., seismic recording, meteorological information, structural conditions and scientific research).

· Cathodic protection (e.g., preventing corrosion of pipelines, bridges, and buildings).

· Battery charging for vehicles.


Figure 4.1. Global Photovoltaic Market, 1976-1992

Photovoltaic manufacturing and technology

Photovoltaic modules are made from a number of materials and fabricated in a variety of different designs. An understanding of the designs and the direction of further improvements requires some knowledge of the principle of the Photovoltaic effect (Annex 7 explains the effect for single-crystal silicon; the principle is the same for other semiconductor materials). In brief, when sunlight shines on these materials, it frees electrons from fixed sites. The wavelength of the sunlight absorbed depends on the "band gap" of the material. The materials are designed so that the electrons cannot return to these sites easily except by flowing through an external circuit, thus generating a current. A typical solar cell consists of a layer of semiconductor material sandwiched between conducting top and bottom layers. Photovoltaic modules are made up of several interconnecting solar cells, as the individual PV cells do not provide much power. PV modules are generally less than 1m2 in size and deliver between 50 and 150 W of electric power Thornton and Brown 1992). The whole is encapsulated in a clear, waterproof coating to protect the cells from the environment. Modules can be further interconnected to form arrays. These are generally of two types: "non-tracking" arrays that remain in a fixed position and "tracking" arrays that follow the sun's movement across the sly. The latter are more complex and more expensive, but they can optimize the system's performance (Thornton and Brown 1992).

Efficiency

The efficiency of a solar cell is measured by the percentage of solar energy incident on the cell that is converted to electrical energy. This percentage varies with cell materials and design. Strategies for increasing cell efficiencies include the following (Kelly 1993; U.S. DOE 1991):

· The surface of the cell is textured with small, pyramidal shapes that allow light reflected off the surface to reflect back into the cell so that it can be absorbed.

· Electrical contacts on the front of the cell are designed so that the maximum amount of light can reach the semiconductor (e.g., top contacts can either be transparent or in the form of a metal grid with thin, conductive "fingers").

· The amount of light that passes through the material without colliding with an electron can be minimized by selecting materials that are good light absorbers.

· Light-generated electrons and holes recombine easily if they reach a flaw or an impurity in the crystal. These flaws are minimized in polycrystalline or amorphous silicon by inaction with hydrogen.

· Electrical resistance within the cell can be minimized by good cell design.

· Stacking of cells with different band gaps can ensure that a broader range of the solar spectrum is captured, despite restrictions imposed by the band gaps of individual cells. These stacked configurations are called multifunctional devices.

A number of approaches are therefore available for increasing the efficiency of photovoltaic cells. However, there are trade-offs between increases in efficiency and resulting increases in costs. For example, gallium arsenide has a near-ideal band gap for single-junction devices, is a particularly good light absorber. But its cost is considerably greater than that of silicon. Hence, gallium arsenide has yet to penetrate the terrestrial market significantly. Similarly, although single-crystal silicon modules have achieved higher efficiencies (10 to 13 percent) than amorphous silicon modules (stabilized efficiency of 3 to 5 percent), the manufacturing cost of the latter is much lower. Thus, despite their lower efficiency, the amorphous silicon modules have captured a third of the world market.

Annex 8 summarizes data relating to photovoltaics from a large number of sources. Annex 9 shows only the efficiency data extracted from Annex 8, with the exception of items 117 to 128, 168 to 172, 225, and 267. These have not been used because in items 117 to 128 and 168 to 172 it is not clear whether the values are for cells or modules. In the case of items 225 and 267, the date for these projected efficiency values is not given. The data have then been plotted in several graphs according to semiconductor material (figures 4.2 to 4.6). Figure 4.7 shows efficiencies of cells and modules where the semiconductor material has not been specified.

The following points need to be noted with regard to interpretation of these data and estimates:

Efficiencies quoted for years after 1992 are projected; those quoted up to and including 1992 are actual values.

· Cell efficiencies, experimental efficiencies, and laboratory efficiencies have been taken to mean efficiency values obtained in the laboratory for individual cells.

· Module efficiencies and commercial module efficiencies have all been assumed to be field module efficiencies. Distinctions between prototype and field modules have been noted, if they have been specified by the source. The latter tend to be lower because of the effects of dust and other factors experienced in the field.

· Sub-module efficiencies. where specified as such (i.e., for smaller modules), have been noted as prototype module efficiencies.

· Light-induced degradation occurs when amorphous silicon devices are operated, thus reducing the initial efficiency to a stabilized value after a few months of operation (see the explanation in the section on thin-film solar cells). The efficiencies have been noted as such in Figure 4.3.

· Efficiency also varies with manufacturing method. For example, a single-crystal silicon cell manufactured by the dendritic web method differs in efficiency from the same cell made by the Czochralski method (see the section on "thick-film" cells).

· The lines drawn on the graphs are only to aid the reader in visualizing trends and are not based on actual efficiency values.


Figure 4.2. Efficiencies of Crystalline Silicon Calls and Modules


Figure 4.3. Efficiencies of Amorphous Silicon Cells and Modules


Figure 4.4. Efficiencies of Cadmium Telluride (CdTe) Cells and Modules


Figure 4.5. Efficiencies of Copper Indium Diseienide (CIS) Cells and Modules


Figure 4.6. Efficiencies of Gallium Arsenide (GaAs) Cells and Modules


Figure 4.7. Efficiencies of Photovoltaic Cells and Modules

The following general conclusions may be drawn from the graphs:

· Efficiencies increased in the last few years. For example, efficiencies of crystalline silicon modules have increased from 7 to 8 percent in 1976 to 10 to 13 percent in 1992 (Figure 4.2); for cadmium telluride thin-film prototype modules, from 5 percent in 1986 to 10 percent in 1992 (Figure 4.4); and for CIS thin-film prototype modules, from 5 percent in 1986 to 11 percent in 1992 (Figure 4.5).

· Cell efficiencies are greater than module efficiencies. The time lag is not only different for different types of photovoltaic module but is also different for different time periods. For example, in the case of crystalline silicon, the time lag appears to have been about five years between 1980 and 1985; but modules are not expected to reach efficiencies of 17 percent (achieved by cells in 1984) till 2030 (Figure 4.2).

· Concentrator and multifunctional cells are more efficient than monojunctional cells operating under regular light. For example, amorphous silicon monojunctional cells have stabilized efficiencies of 6 percent, whereas the multifunctional cells have stabilized efficiencies of 10 percent (Figure 4.3). This is also partly because stacking reduces light-induced cell degradation. Crystalline gallium arsenide cells under regular light have exhibited efficiencies of 25 percent, whereas the concentrator cells have efficiencies of 27 to 30 percent (Figure 4.6). Similarly, under regular light, crystalline silicon cells have efficiencies of 22 to 24 percent, whereas the concentrator cells have achieved efficiencies of 28 percent (Figure 4.2).

The scope for further efficiency improvements is significant. Practical theoretical efficiencies for monojunctional cells, under regular light, are about 30 to 33 percent for crystalline silicon, 27 to 28 percent for amorphous silicon, 27 to 28 percent for thin-film cadrnium telluride, 23.5 percent for thin-film copper indium diselenide, and 33 percent for crystalline gallium arsenide. Theoretical values are given in the literature of 40 percent for multifunctional concentrator cells, 29 percent for a tandem cell with two amorphous layers, 47 percent for a tandem cell with two crystaline layers, and 42 percent for mechanically stacked amorphous silicon and copper indium diselenide.

Details in Figures 4.2 to 4.6 are discussed further in the following sections.

The scale of the variety in solar cell manufacture and design is illustrated by Figure 4.8 and can be seen in the charts on efficiency (Figures 4.2 to 4.7). Many devices are also being investigated and manufactured, and allowing for these makes the total range of approaches being followed by scientists and engineers in research laboratories and in commercial companies even larger. As noted, no dominant approach has emerged, and the competition among ideas is intense and healthy. Some common types of solar cells are described in more detail below.


Figure 4.8. Variety In Photovoltaic Cells and Manufacturing Processes

Crystalline sillicon solar cells (''Thick'' Film)

Single-Crystal Sllicon. In 1980, single-crystal silicon cells accounted for 90 percent of commercial PV cells. In 1990, they were only 35 percent of the total world market, with amorphous silicon at 31 percent and semicrystalline silicon at 33 percent.

The cell contains a wafer cut from a single crystal of silicon. The raw material is waste silicon from the semiconductor industry, which PV manufacturers purchase at a reduced price (Remy and Durand 1992; Kelly 1993). The silicon is melted and regrown into large crystals. The two most established methods for this are the Czochralski method and the floating-zone technique. In the former, a seed crystal is dipped into a reservoir of molten silicon and slowly drawn from it to form a large cylindrical crystal; in the latter, a rod of polysilicon is placed above a seed crystal, and movable heating coils are used to melt the polysilicon rod at the interface, allowing it to resolidify as a single crystal (see U.S. DOE 1991; Green 1993 for descriptions of the methods). These crystals are then sliced into wafers.

This process results in the waste of much silicon, as the cylindrical ingots are much larger in diameter than the required wafers. Alternative methods that minimize waste and cut manufacturing costs, such as the use of thinner saws to slice the wafers or direct growth of thin crystalline sheets or ribbons of silicon are being investigated actively to reduce manufacturing costs (see Green 1993; Carlson, 1990; and U.S. DOE 1991). These methods include (a) the dendritic web approach, in which two dendrites a few centimeters apart are drawn from the melt, trapping a thin sheet of molten silicon in between, which solidifies; (b) the edge-defined film-fed (EFG) growth method, in which molten silicon moves by capillary action between two faces of a graphite die and a thin sheet is drawn from the top of the die; and (c) the S-Web approach, in which a carbon web is coated with silicon as it is drawn through a silicon melt.

One potential problem in PV manufacture is that the quantity of silicon that will be required in the near future, as the market of photovoltaics increases, is in excess of the current silicon waste produced by the semiconductor industry, indicating that silicon production specifically for the PV industry will be required. Silicon is the second most abundant element on Earth, but it is present in the form of silica (silicon and oxygen) and silicates (compounds of silicon, oxygen, metals, and possibly hydrogen). Silica is processed into silicon, which is then refined. The silicon used in PV manufacture can be less pure than that needed for semiconductors, but current production procedures are expensive, and some work is being carried out to develop new, low-cost methods for silicon production (U.S. DOE 1991; Green 1993). However, some authorities feel that this matter merits more attention (Remy and Durand 1992; and Pistella 1992).

Efficiencies of single-crystal cells and modules are shown in Figure 4.2. Currently, efficiencies of experimental cells are 22 to 24 percent, and those of modules (based on field experience) are 11 to 13 percent. Theoretical efficiencies for single-crystal silicon are 30 to 33 percent. A multifunction of a mechanically stacked gallium arsenide cell on top of a singlecrystal silicon cell is reported to have achieved 31 percent efficiency under concentrated light in 1988 (see the section on solar concentrator cells; U.S. DOE 1991).

Polycrystalline Silicon Polycrystalline silicon is also used for PV cell manufacture. Here, the semiconductor material consists of many crystals of silicon. The associated problems in terms of increased electrical resistance caused by the electrons and holes meeting at cell boundaries and recombining are overcome to a certain extent by reaction with hydrogen or oxygen to fill the broken bonds at the grain boundaries or by heating and cooling the material so that the crystals are enlarged further, thus reducing the number of cell boundaries within the material (U.S. DOE 1991). Nevertheless, polycrystalline cells are less efficient than singlecrystal silicon cells, with efficiencies of 8 to 9 percent for field modules and 18 percent for experimental cells (Figure 4.2).

However, the corresponding decrease in efficiency is compensated to a certain extent by the lower cost of manufacture for these cells. Silicon wafers are manufactured by cooling molten silicon in a crucible in a controlled manner to form an ingot, which is then cut into smaller blocks and sliced into wafers. Methods for producing thin films of silicon on different supports (such as ceramic and steel) are also being investigated, with the intention of reducing costs, as less silicon is use d in these devices.

Thin-film solar cells

Thin films require substantially less active material than single-crystal silicon. Films are typically of thicknesses 0.001 to 0.002 mm, as opposed to about 0.3 mm for a typical thickfilm single crystal or polycrystalline silicon cell (Thornton and Brown 1992). Manufacturing techniques are also different, with thin layers of different materials being deposited sequentially, in a continuous process, on top of each other on a substrate (usually glass), from the back electrical contact (usually a thin layer of transparent oxide) to the semiconductor material to the antireflective coating to the front electrical contact, to eventually make up the module. The sheets are then divided into individual (interconnected) cells by scoring with a laser beam (U.S. DOE 1991). The manufacturing procedures are potentially much less costly than growing single crystals, because in addition to using as little as 1 percent of active material compared with the latter, they hold great potential for low-cost, automated, large-scale production (Kelly 1993; Zwiebel and Barnett 1993; U.S. DOE 1991).

Amorphous Silicon. Amorphous silicon (a glassy alloy of silicon and about 10 percent hydrogen) was regarded as an insulator until 1974, when it was demonstrated to be a semiconducting material. By '990, amorphous silicon PV cells formed 31 to 32 percent of the world market for PVs (Carlson and Wagner 1993; U.S. DOE 1991). The active cell has slightly different construction, with a neutral layer of amorphous silicon (the "i" or intrinsic layer) present between the thin, highly doped, top p-layer and the bottom e-layer. It is here that the electron-hole pairs are generated, thus facilitating their movement, as electrons and holes are far less mobile in amorphous silicon than crystalline silicon, and doping worsens this situation (U.S. DOE 1991).

The first cell had an initial efficiency of I percent in 1974, which decreased on exposure to light to as little as 0.25 to 0.5 percent (Carlson and Wagner 1993). Efficiencies for amorphous silicon cells are shown in Figure 4.3. It is worth noting that a decrease of 10 to 20 percent from the initial efficiency occurs in the first few months of use because of light-induced degradation of the amorphous silicon (Carlson and Wagner 1993; U.S. DOE 1991). Currently, stabilized monojunctional experimental cell efficiencies are about 6 percent, and stabilized field module efficiencies are in the range of 3 to 5 percent. Estimates in the literature for theoretical efficiency limits for single-junction amorphous silicon cells are 22 percent and 27 to 28 percent (Cody and Tiedje 1992 for the lower value; Kelly 1993 for the higher).

Multijunctional devices, with higher efficiencies, have also been developed for amorphous silicon. Use of this configuration not only improves the overall efficiency of the cell but, in the case of amorphous silicon, results in a further increase in the overall efficiency of the individual cells because the thinner layers of material result in less light-induced degradation (International Energy Agency 1987; U.S. DOE 1991). The band gap of amorphous silicon can be altered by the formation of alloys with germanium, carbon, tin, and nitrogen. Thus, typically three amorphous silicon cells with different band gaps are stacked to form a multifunctional cell. Multijunctional amorphous silicon cells have stabilized laboratory efficiencies of 10 percent (6 percent for field modules; Figure 4.3). An amorphous silicon cell has also been stacked on top of a CIS cell, achieving initial efficiencies in the laboratory of 16 percent and 12 percent for submodules (Figure 4.5).

The lower efficiency of the modules relative to single-crystal silicon is balanced by their significantly lower cost per unit area due to the smaller quantity of active material needed because of its high absorptivity (40 percent greater than single-crystal silicon), as well as the lower temperatures required for production and the use of low-cost substrates for deposition of the active material (U.S. DOE 1991).

Cadmium Telluride (CdTe). Efficiencies of cadmium telluride-based laboratory PV cells are in the range of 12 to 16 percent, with prototype modules having efficiencies of 8 to 10 percent (see Figure 4.4.). Theoretical efficiencies are estimated at 27 to 28 percent. CdTe cells do not show the light-induced instability found in amorphous silicon. Two cell designs are predominant. In the first, CdTe forms the p-layer, and cadmium sulfide forms the elayer. However, CdTe is highly resistive when doped, and this problem has been circumvented in another design that makes CdTe into an intrinsic layer, sandwiched between pzinc telluride and e-cadmium sulfide (U.S. DOE 1991). Cadmium telluride-based cells are about to be commercialized, after benefiting from the experience of research in the late 1970s and early 1980s, when several companies unsuccessfully attempted to commercialize these cells (Zweibel and Barnett 1993).

Copper Indium Diselenide (CIS). Efficiencies of copper indium diselenide PV cells are in the range of 14 to 15 percent, with prototype modules demonstrating efficiencies of 11 percent (see in Figure 4.5). The theoretical efficiency for single-junction thin-film CIS cells is estimated as 23.5 percent by one source (Kelly 1993). These cells consist of a p-layer of CIS and an e-layer of cadmium sulfide (U.S. DOE 1991). Copper indium diselenide is also both being used in various designs of multijunctional cells (U.S. DOE 1991). An amorphous silicon cell has also been stacked on top of a CIS cell, achieving initial efficiencies in the laboratory of 16 percent (12 percent for submodules; Figure 4.5).

CIS not only has high absorptivity, absorbing as much as 99 percent of the incident light, but also displays good stability with regard to light degradation (U.S. DOE 1991). CIS modules are amenable to low-cost, large-scale manufacture and are seen by many as the "model" thin film. It is worth noting, however, that indium supply may become an issue if CIS modules enter large-scale production. Indium is thought to be as abundant as silver, but current supply capacity cannot meet heavy future demand. This could well lead to an increase in indium prices that would impede growth of CIS module production. However, several companies have expressed interest in producing sufficient supplies of indium (Zweibel and Barnett 1993).

Concentrator solar cells

The high cost of the active semiconductor material has stimulated research into methods to reduce this cost further. One innovative idea is the concentrator cell (floes and Luque 1993). Here, mirrors or Fresnel lenses are used to concentrate the sunlight onto a smaller-area photovoltaic cell, allowing low-cost mirrors or lenses to replace high-cost PV cells. Furthermore, because only a small area of PV cell is required, one can pay a slightly higher price for it and still have a lower overall cost compared with a conventional PV cell of the same material. Both single-crystal silicon and single-crystal gallium arsenide have been used in concentrator cells, as well as in various multijunctional cells. Cell efficiency also appears to increase in concentrator cells, although the increase seems to depend on factors such as cell material and design (U.S. DOE 1991). However, concentrator cells, unlike conventional cells, cannot use diffuse sunlight and thus require direct-beam insolation, which is more variable than the total (diffuse plus direct) insolation at a particular site.

Silicon. Several silicon PV concentrator systems have been installed and are operational (Boes and Luque 1993). The efficiencies of laboratory concentrator cells are in the range 21) to 28 percent and of commercial concentrator modules under 20 suns are 15 to 17 percent (Figure 4.2).

Gallium. Gallium arsenide is an excellent active material for use in PV cells because its band gap of 1.43 eV is near ideal for single-junction solar cells; it also has high absorptivity, and it is relatively insensitive to heat (U.S. DOE 1991). The last factor is particularly important in concentrator devices, where the cell is subjected to high temperatures. Single-crystal gallium arsenide, however, is very costly, and therefore its use in concentrator devices is more economical than its operation under regular light. To date, because of its high cost, gallium arsenide has been used primarily in modules for applications in space rather than for large-scale terrestrial uses. Approaches to reduce module costs include fabrication of cells on cheaper substrates, such as silicon or germanium (U.S. DOE 1991). Efficiencies for gallium arsenide cells under regular light are 20 to 25 percent; efficiencies for concentrator cells are in the range 28 to 30 percent, with concentrator prototype modules showing efficiencies of 22 percent (Figure 4.6). It is worth noting that gallium arsenide devices show little difference between module and cell efficiencies..

Much of current research on multijunctional cells focuses on gallium arsenide as either one or as all of the component cells. In 1988, the record for the highest efficiency (31 percent) PV device was set by a gallium arsenide cell on top of a single crystal silicon cell under concentrated light (U.S. DOE 1991). The current record for the highest efficiency cell is also held by a multifunction device consisting of a gallium arsenide cell on top of a gallium antimonide cell. Under concentrated light of 100 suns, an efficiency of 34.2 percent was achieved.

Environmental effects

From an environmental point of view, the use of photovoltaics for electricity generation is a benign operation.

The solar cells themselves are made from either silicon or certain heavy metals, such as gallium arsenide. cadmium telluride, and copper indium diselenide. Silicon is obtained from silica by reaction with hydrogen, to form silicon and carbon dioxide (U.S. DOE 1991). Thus, a small quantity of carbon dioxide, dependent on the amount of silicon, is released to the atmosphere. However, when compared with the amount of carbon dioxide released from a fossil fuel power station over its life, this quantity is negligible. At the manufacturing stage, silicon dust is an important occupational hazard, but its risk can be minimized with careful handling (Holdren, Morris, and Mintzer 1980). In the case of disposal, silicon solar cells are thought not to pose any apparent health and safety risk (Zweibel and Barnett 1993).

The toxicity of the other heavy metals is worth some consideration. Cadmium telluride, cadmium sulfide, copper indium diselenide, and gallium arsenide pose occupational risks and a hazard to the public if the arrays are consumed by fire (see both

Holdren, Morris, and Mintzer 1980 and Zweibel and Barnett 1993). Arsenic, a constituent of gallium arsenide solar cells, is very poisonous (U.S. DOE 1991).

Hydrogen selenide, used as a feedstock in copper indium diselenide thin-cell manufacture, is an extremely toxic gas. It can be used safely, however, if documented safety procedures are followed. Research is being conducted to find a substitute to replace the use of the gas altogether. After manufacture, sealed modules of copper indium diselenide contain small quantities of selenium, sandwiched between glass layers. This selenium could threaten groundwater if modules are disposed of improperly (Zweibel and Barnett 1993).

Tests have been conducted by the U.S. Environmental Protection Agency on copper indium diselenide solar cells (which also contain a layer of cadmium sulfide; see the section on thin-film cells). On grinding the cells and suspending them in various solutions, it was found that tests for leaching of cadmium, selenium, and other substances were within limits. Thus, under present U.S. laws, these modules are not considered hazardous waste (Zweibel and Barnett 1993; and discussions with R.H. Annan, Director, Office of Solar Energy Conversion, U.S. Department of Energy, Washington D.C.).

Cadmium is another toxin; it is both poisonous and a possible carcinogen. Both at the manufacturing stage and at the disposal stage, health and safety issues and environmental concerns must be addressed, as the technology matures, for cadmium telluride solar cells. Recycling procedures are being studied (U.S. DOE 1991). However, it is worth bearing in mind that the quantities are small compared with the amounts of cadmium waste from disposal of nickel-cadmium batteries and the cadmium entering the food stream from phosphate fertilizers. For example, in the United States 1,000 tons of cadmium enters the waste stream yearly from discarded batteries, this is equivalent to the waste that would be created from 20 billion watts of discarded PV modules (Zweibel and Barnett 1993). Coal burning also produces some cadmium waste (about one kilogram/GWh of electricity, equivalent to 150 m2 of cadmium sulfide/cadmium telluride modules producing the same 1 GWh in 30 years; Zweibel and Barnett 1993).

The cost of photovoltaic power

The cost of electricity from photovoltaics is dependent on the following factors:

· Insolation at the site. This determines the amount of electricity generated from a specific system, as it is analogous to the amount of fuel available.

· Module and system efficiency. The system efficiency is important, as it is the percentage of available energy converted to electrical energy, after energy losses during electricity generation. Data taken from Annex 8 on system efficiencies are shown in Figure 4.9. Values beyond 1992 are projected; the others are values used in calculations of various photovoltaic schemes. System efficiencies have increased with time. The main component of the system efficiency is the module efficiency.

For most PV systems, the system efficiency is about 70 to 85 percent of the module efficiency. The module efficiency varies considerably between different PV modules, as illustrated in Figures 4.2 to 4.7. The module efficiency is also of importance in its contribution other costs, because generating a specific amount of power, will require different amounts of land, and will therefore result in different total area-related costs for modules with differing efficiency..

· Module cost. The module cost depends on the cost of the materials comprising the module, the particular technique used to manufacture it, and the size of the module order. Costs are discussed in detail in the next subsection.

· Balance-of-system (BOS) cost. This can include the cost of the supporting structure, power conditioners (to convert the DC power to AC current), control devices, electrical wiring, batteries for storage, site preparation, installation, and the secondary system (such as lights or a water pump). Different sources differ about what constitutes the balance-of-system costs, and these inconsistencies make it difficult to compare BOS costs directly unless the costs of the individual constituents are given. These BOS costs can account for approximately 40 to 60 percent of the total capital cost according to varying sources. Balance-of-system costs are discussed in more detail in the cost subsection,

· System life. The life of the system is also important. Most sources quoted in this report assume a photovoltaic life of 30 years in calculations. One PV manufacturer has recently increased its warranty to 20 years, but most currently guarantee only 10 years, even though modules are expected to function longer (Real Goods 1991).

National Renewable Energy Laboratory (1992c) report; current module lifetimes as
10 to 15 years. These are expected to increase to 20 years by 1995-2000 and to 30 years by 2010-2030, according to the U.S. DOE's Photovoltaics Program Plan (NREL 1992c). The International Energy Agency (1991) states that the technology has already approached a 30-year lifetime for single-crystal silicon.

· Interest rate. The main distinguishing feature of this technology is the high capital cost and the zero fuel cost, unlike conventional technologies, in which fuel costs are high and the initial investment is low. For example, a conventional system may have a capital cost of $1,S00/kW and an operating cost (including fuel) of 4 cents/kWh, whereas a PV system can have a capital cost which is six times higher ($10,000/kW) but an operating cost which is six times lower (0.6 cents/kWh) than the conventional system.


Figure 4.9. System Efficiencies

Operating and Maintenance Cost. Operating and maintenance (O&M) costs are generally low, because of the absence of moving parts in the electricity- generating components. Items 54 and others in Annex 8 quote O&M costs of about 0.5¢/kWh for small PV systems. This is small relative to the O&M costs of a small diesel system (about 1.0 to 1.5¢/kWh for maintenance and about 5.0 cents/kWh for fuel). Operating and maintenance costs of 0.39 to 1.44ç/kWh are found for utility scale flat-plate systems (U.S. Congress 1992). Another source quotes a study of seven medium-scale U.S. PV projects as having O&M costs of 0.4 to 7.0¢/kWh (Kelly 1993). These arc shown below in Table 1 and may be divided into flat plate (0.39 to 1.44 ¢/kWh) and concentrator systems (4.81 to 6.97¢/kWh). In tie case of concentrator systems, almost 40 percent of the O&M cost in Arizona was for the tracker, whereas in Texas, 80 percent resulted from problems with the power conditioner.

Table 4.1. The Operating Experience of Large PV Systems

O&M costs ( ¢/kWh)


Power

Observed

Potential

Site

(MW)

System type

Tracker only

Total

Best parts

Double efficiency

Lovington, CA

0.10

FP/OD

0.00

0.39

0.13

0.11

Washington, DC

0.30

FP/OD

0.00

1.44

0.14

0.12

Sacramento, CA

2.00

FP/1D

0.02

0.61

0.15

0.13

Carissa Plains, CA

6.50

FP/2D

0.18

0.80

0.29

0.20

Lugo, CA

1.00

FP/2D

0.37

1.10

0.29

0.20

Phoenix, AZ

0.23

C/2D

1.78

4.81

0.53

0.30

Dallas / Fort Worth, TX

0.03

C/2D

0.82

6.97

0.73

0.35

Notes. FP = flat plate;
C = concentrator;
OD = no tracking;
1D = one-dimensional tracking;
2D = two dimensional tracking.

Source: Electric Power Research Institute, Photovoltaic Operation and Maintenance Evaluation, EPRI GS-6625, December 1989, cited in Kelly (1993).

“Potential using best parts" corrects known design defects and assumes use of parts with proven low O&M costs Potential using "double efficiency" assumes best parts are used but module output is doubled by improved sell design (affects only some O&M).

Of O&M in Dallas/Fort Worth system, 80% resulted from problems with the power conditioner. More than half of the Sly Harbor (Phoenix} costs result from moisture leakage into the arrays, forcing extensive component replacement. The design defect has been corrected with improved seals.

Costs in detail

The following subsections look at module costs, balance-of-system costs, and electricity generation costs in more detail.

Modules costs

Module costs, both historic and future, according to various sources in the literature, are given in Annex 10. These were obtained from Annex 8, except items 62, 67 to 68, 159, 187 to 188, 194 to 195, 201, 207, 235 to 237, 267, and 278 to 285, which were excluded for one of the following reasons:

· Costs for arrays were excluded, because they may also include the cost of the racks for supporting the modules.

· Tracker or racking (support) costs were included in the quoted cost

· It was not clear from the text whether the cell or module cost was being stated.

· Costs were based on achieving a particular production level (this necessitates certain assumptions about the rate of market increase).

· Costs were cited, but it was not possible to ascertain the date of the quote.

· Costs were projected for years up to and including 1992.

The costs in Annex 10 were converted into 1990 U.S. dollars per peak watt using the methods described in Annex 1. These costs then were plotted in Figures 4.10 to 4.13. The following must be noted with regard to these graphs:

· Only photovoltaic module costs are shown. BOS costs (e.g., mounting costs, storage costs) are not included but are discussed in the next section.

· In most cases, the year of the module cost quoted is from the source material.

Where it is not, the publication date of the document is used, unless noted otherwise.

· Similarly, the year of the price quoted is usually stated. Where this is not so, the year of the quoted cost is taken as the year of the currency. Beyond 1992, the year of publication of the document is taken as the currency year.

· The size of the module system/order is different in each case, with prices for both 2.5 Wp orders as well as megawatt orders being shown.

Figures for 1992 and earlier are actual; those after 1992 am projections.

· Both production costs as well as selling prices are shown. Prices may differ from production costs for several reasons; producers may have a higher implicit discount rate to provide for risks, taxes, recovery of R&D, and other factors. This adds to dispersion on the graphs.

Type of module is rarely specified; thus, no differentiation was made in the graphs.

The varying "quantities" (i.e., total peak wattage) of modules, as specified by the source, are shown in the graphs. In addition, Figure 4.11 shows only the module costs where the total sale is less than 1,000 Wp, as well as those bought in "small quantities." Figure 4.12 shows the module cost when the quantity being purchased is 1,000 Wp or greater, or when "large quantities" are being purchased. Figure 4.13 shows the data (the largest data set) for those costs where the wattage is not specified.


Figure 4.10. Photovoltaic Module Costs by Size of Order


Figure 4.11. Photovoltaic Module Costs for Small Orders

The following may be deduced from the graphs:

· The costs of photovoltaic modules have decreased from about $300/Wp (1990 prices) in the early 1970s to $4 to 11/Wp (1990 prices) in 1992. An outlier figure of over $1,000/Wp (1990 prices) appears in the early 1970s, which may be due to the small scale of the application. There are also outlier figures of $2 to 3/Wp (1990 prices) in 1992; these may be actual production costs.

· The costs vary with the total quantity (in terms of wattage) required, with larger quantities being cheaper.

· Projections for future cost reductions show that the cost is expected to drop to $1 to 2/Wp (1990 prices) by the beginning of the next century. The outliers for 1998 are based on projections made in the 1980s (Items 114 and 116) and appear optimistic.

· The costs are spread over a range for both 1991 and 1992. This probably stems from the range of data collected. This includes both actual module prices in a developing country, Zimbabwe, as well as actual module prices in the United States (from Real Goods, a commercial publication). On the other hand, the costs quoted by Zweibel and Barnett (1993; items 264-66) appear to be actual manufacturing costs. Furthermore, the latter are for thin-film PV modules, whereas the former are for crystalline silicon PV modules (except for item 42), which have a higher manufacturing cost.


Figure 4.12. Photovoltaic Module Costs for Large Orders


Figure 4.13. Photovoltaic Module Costs for Unspecified Order Sizes

All costs through 1992 - are actual:; those after 1992 are projected.

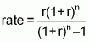
From Figure 4.10, it appears that module costs are expected to drop further with time. Indeed, as noted earlier, a number of authorities quote decreases in price with respect to market size (i.e., values for module costs have been projected for a particular market size). This illustrates the extent to which economies of scale and the gain in manufacturing experience are expected to play a part in reducing future costs. Indeed, the "learning curve" for photovoltaics has been calculated by several authorities (Cody and Tiedje 1992; and Tsuchiya 1992). This is a measure of the decrease in price with increasing production because of economies of scale and technological progress and is defined by the following relationship:

or

where Y = Unit production cost for accumulated production X

X = Accumulated production
a = Cost of a unit at first production
b = Learning parameter (a negative number)

From this equation, a doubling in the accumulated production leads to a reduction in the unit cost by a factor, called the progress ratio, which is usually expressed as a percentage.

Cody and Tiedje (1992) found their data to yield a "77 percent learning curve" for "silicon solar cells" between 1976 and 1988; that is, that a doubling of production resulted in costs decreasing to 77 percent of their initial level. Cody and Tiedje (1992) also report Maycock as identifying a learning curve parameter as 90 percent for silicon solar cells up to 1965 and 80 percent between 1965 and 1973. Interestingly, Tsuchiya ( 1992) found a similar result for Japanese photovoltaic production between 1979 and 1988 (i.e., a nearly "80 percent learning curve"). although he does not specify the type of photovoltaic module.

These reductions in costs may be attributed to several factors:

· The steady progress in the efficiency of cells and modules as noted earlier. For example, efficiencies of crystalline silicon modules have increased by 50 percent from 1976 to 1992; that is, from 7 to 8 percent to 10 to 13 percent. Furthermore, as discussed earlier, further gains in efficiency are still possible and likely.

· Increases in the scale of manufacturing, and with this changes in cell design and manufacturing technologies. The 60-fold increase in the market from 1976, albeit from very small levels has permitted manufacturers to introduce methods more amenable to large-scale, low-cost production. Examples are the introduction of thin-film modules that are amenable to automated manufacturing processes, and the innovative methods being used for the production of single-crystal silicon wafers, such as the dendritic web approach which minimize silicon waste.

Balance-of-system costs

As described earlier, the term balance-of-system can include supporting structure, power conditioners (to convert the DC power to AC current); control devices; electrical wiring; batteries for storage; site preparation; installation; and the secondary system, such as lights or a water pump. Sources differ in their definition of what exactly constitutes the balanceof-system, and these inconsistencies make it difficult to compare BOS costs directly, unless the costs of the individual components are given. These BOS costs can account for approximately 40 to 60 percent of the total capital cost according to varying sources. Annex 8 does give an indication of costs of certain BOS items. These are specified either a percentage of the total cost, or a total area-related ($/sq. m.) and a total power-related ($/kW) cost, or as individual component costs. The following should be noted with regard to these costs:

· The BOS differs in different applications, from photovoltaics for water pumping to photovoltaics for generating electricity. Second, further variance is found between a grid-attached PV system and an individual unit for a house, both producing electricity. The situation can then become more complicated: Hankins (1993) gives a number of examples of PV power in developing country situations, where the system is only required to deliver DC electricity, unlike, say, for a home in the United States thus eliminating the need for power converters.

· The BOS component parts are usually made or obtained locally, and thus even further variation is found in the cost of individual components depending on the site of the PV scheme. See, for exarnple, items 49 and 50 which compare costs between the Dominican Republic and the United States (U.S. Congress 1992).

Battery cost is $1,050/kW (lasts 3 to 5 years) in the former, and $1,400/kW (lasts 3 to 5 years) in the latter. Similarly. the cost of electronic control equipment is $1,000/kW in the Dominican Republic and $1,800/kW in the United States. In addition, mounting hardware, with a cost of $800/kW, is required in the latter, unlike the former

· The cost of the land and the cost of labor for installation of the PV scheme are again very much dependent on the site.

· Batteries can make up a large part of the cost. Variation in cost will be found depending on whether these are needed for a particular application. An example of an application that may not require batteries is a utility-based, grid-attached PV plant supplying only peak power.

Significant reductions in future BOS costs are expected with increases in:

Module efficiency; this is with regard to area-related BOS costs, which will decrease as the area requirement is reduced with increasing module efficiency.

· Market size, which lead to scale economies.

Table 4.2 shows U.S. DOE ((1992c) and SERI (1989) assessments. The main reductions are expected to be in power conditioning, wiring and labor {installation) costs. Increases in inverter and battery life are also projected.


Table 4.2. Balance-of-System Costs for Photovoltaic Systems

Cost of photovoltaic electricity

Figures 4.14 and 4.15 show the cost of photovoltaic electricity as calculated by a variety of different sources taken from the table in Annex 8. The costs have all been converted to 1990 dollars per kilowatt hour using the procedure described in Annex 1. Figure 4.14 distinguishes between cases where the details are given in the reference on the calculative assumptions made; and Figure 4.15 shows the same data but distinguishes between on-grid and off-grid generation, as specified by the reference. It is assumed that costs quoted up to and including 1992 are based on actual component prices, lifetimes, and efficiencies; though this is not always specified in the text. Costs beyond 1992 are based on projected component costs, lifetimes, and so on, and in some cases the basis for these projected values is given in the text.

The graphs show that the cost of electricity is decreasing. However, it is difficult to arrive at conclusions about the rate of decrease, because different assumptions have been made by different sources for their calculations. These range from different insolation values, to different interest rates, to different types and size of schemes; furthermore, because scale economies are significant, projected costs are particularly dependent on the scale of the markets assumed. Nevertheless, some trends can be seen. The figures below compare the cost of photovoltaic electricity (in the same units) as quoted by different authorities. Current estimates for PV electricity generation range from 25 to 300 cents (1990)/kWh. Figure 4.15 illustrates the lower cost of on-grid PV electricity generation compared with remote systems. This Is partly because of economies of scale (as illustrated earlier by the lower cost of modules for large quantities) and may also be because storage costs (i.e., batteries) were not included for on-grid generation. Current cost estimates for off-grid generation are in the range 25 to 250 cents (1990)/kWh, whereas those for on-grid generation (where specified as such) are in the range 30 to 40 cents (1990)/kWh.


Figure 4.14. Cost of Electricity from Photovoltaics

As described earlier in this section, the cost of electricity depends on several factors, such as insolation, system efficiency, lifetime, capital costs, O&M costs, and interest rates. The method for calculating the levelized cost of electricity is shown below:

Cost of electricity (levelized) = (in $/kWh)

where AC = Annualized capital cost ($/yr)
C = Total capital cost ($)
A= The annuity

,

where r=0.01,i.e. a discount rate of 10%, and n = life of plant (yr)
(O&M) = Annual operating and maintenance cost ($/yr)
E = Number of kilowatt hours produced annually (kWh/yr)


Figure 4.15. Cost of Electricity from Photovoltaics (Remote and Grid-Attached Generation)

In the case of photovoltaics, the fuel cost is zero. The term (AC/E) can be written as the sum of three terms: MOD (PV module component) + BOS(A) (area-related balance-of-system component} + BOS(P) (power-related balance-of-system component), where

Insol. where

nM = module life (years)
nA = life of area-related balance of system components (years)
np = life of power-related balance of system components (years)
CM = module cost ($/kW)
CA = cost of area-related balance of system components ($/m2)
Cp = cost of power-related balance of system components ($/kW)
EffM = module efficiency (%)
Effs = system efficiency (%) = EffBos x EffM
EffBOS - balance-of-system efficiency (%)
Insol. = Annual solar insolation at site (kWh/m2).

As can be seen, longer component lifetimes, higher insolation, and lower component costs all result in lowering the cost of electricity generation. It is interesting to see the part played by the module efficiency.. As discussed earlier, the system efficiency is about 70 to 85 percent of the module efficiency. Thus, in the module component term, MOD, it is only the ratio of the two (EffM/EffS} that is of importance as the quoted module cost in $/Wp already accounts for the module efficiency.. The power-related balance-of-system components, BOS(P), are a function of capacity requirements and being "downstream" cf the system are not affected by module efficiency.. However, the area-related balance-of-system, BOS(A), is affected by both module efficiency, EffM, and system efficiency, Effs. First, the system efficiency is of importance in determining the electricity generated. Second, the area-related balance of system costs are linked to the module area and therefore the module efficiency far a required peak wattage.

The future of photovoltaics

There is no doubt that costs of photovoltaic modules have decreased by a factor of 10 over the past 15 years or so and a factor of over 50 since the early 1970s. This decrease has been as a result of both technological progress and gain in PV production experience. There has also been an increase in PV module efficiencies. The "bottom line" is the cost of electricity. This too has decreased, as a result of lower module costs and higher module efficiencies. Indeed, it is already competitive with the cost of electricity from conventional technologies in certain instances. Remote sitings are the main example of this, particularly for small loads, due to the high costs of grid extension. For example, Waddle and Perlack (1991) found that in Guatemala, PV systems were less expensive than grid extension when loads were less than 15 to 25 kWh/day and the distance to the nearest tie-point was 6 to 10 km.

The extent of interest and technological research in the field of photovoltaics appears to offer prospects for further cost reductions, in particular with the large-scale commercialization of heterojunctional thin-film modules and multijunctional PV modules, as well as with advances in PV concentrator technology. Increases in the PV market will also play an important part in cost reduction because of scale economies and in the creation of incentives for further technical innovation in manufacturing. The incentive to PV manufacturers to decrease costs substantially will occur only if the market increases are large enough to enable the industry to recoup its investment in PV research and development. Other future issues of importance in the photovoltaic industry are the supply of raw materials, as the crystalline silicon PV market expands beyond the "waste" silicon available from the semiconductor industry.

The emphasis to date, however, has been on photovoltaic modules, when the balance-ofsystem components form 40 to 60 percent of the total cost. Economies of scale and extensions in component lifetimes are expected to be the main two factors in reducing these costs further. Batteries, especially, are mentioned as being a particularly expensive component because of their short lifetime (3 to 5 years) and consequent need for regular replacement. This, however, is mainly an issue for remote systems; grid-attached PV systems for the provision of peak power (if peak insolation and peak demand match) or PV schemes used in conjunction with an existing hydro scheme have less need for storage.

TO PREVIOUS SECTION OF BOOK TO NEXT SECTION OF BOOK